fbpx Skip to content
Chevron Houston Marathon Logo Chevron Houston Marathon Logo Chevron Houston Marathon Logo
  • EVENT INFO
    • Race Weekend Schedule
      • Sunday Convention Center Info
    • EXPO & Packet Pick-Up
    • Course Info
    • Hotels and Travel
    • Runner Tracking & Mobile App
    • Spectator & Hoopla Cheer Station Info
    • Parking Info
    • RunFest Post Race Party
    • Street Closures
    • Safety & Security Info
    • FAQ
    • Sponsors
  • RUNNER INFO
    • Registration
      • Participant Account Login
    • Training
    • Elites
      • Local Elites
    • 2026 ATHLETE GUIDE
    • 2026 Race Program
    • Legacy
    • Pace Team
    • Results
  • GET INVOLVED
    • EXPO
    • Marketing Opportunities
    • HOOPLA CHEER STATIONS
    • Sustainability
    • Volunteers
  • CHARITY
    • Houston Marathon Foundation
    • Chevron Houston Marathon Run for a Reason Program
    • Chevron Houston Marathon Run for a Reason Corporate Partnership Program
    • Donate to a charity

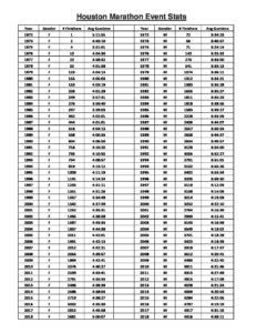
2018 Legacy Over all results

  1. Home
  2. 2018 Legacy Over all results

Share This Story, Choose Your Platform!

FacebookXRedditLinkedInTumblrPinterestVkEmail

Leave A Comment

You must be logged in to post a comment.

Recent Posts

  • Records Fall and U.S. Champions Shine at Chevron Houston Marathon and Aramco Houston Half Marathon
  • 2026 Aramco Houston Half Marathon Elite Field Announcement
  • 2026 Chevron Houston Marathon Elite Field Announcement
  • 2026 Chevron Houston Marathon Pace Team
  • Houston Marathon Committee Announces Hall of Fame Inductee – Brant Kotch

Categories

  • Ambassadors
  • Fast Facts
  • Featured
  • Foundation
  • Half Marathon Athlete Bios
  • Home Page Slider
  • Houston Marathon Committee
  • Marathon
  • Marathon Athlete Bios
  • Medical Tips
  • Olympic Trials
  • Olympic Trials Athlete Profiles
  • Olympic Trials Audio
  • Olympic Trials Flashback
  • Olympic Trials Men's Bios
  • Olympic Trials Results
  • Olympic Trials Videos
  • Olympic Trials Women's Bios
  • On the Road
  • Posts
  • Press Releases
  • Race Experience
  • Results
  • Runner Demographics
  • Runner Profiles
  • Seen in the City
  • Training Tips
  • Uncategorized

Archives

Shop Press

RACES

  • Chevron Houston Marathon
  • Aramco Houston Half Marathon
  • We Are Houston 5K

Copyright 2020, Chevron Houston Marathon. All Rights Reserved.

ABOUT

  • About Us
  • Hall of Fame
  • Careers
  • FAQ

CONTACT

  • General Inquiries
  • Media Center
  • Volunteers
Press
Page load link